√画像をダウンロード ß ¯^ Y 129601-A ß y strahlung
El factor de crecimiento transformante beta (por sus siglas en inglés TGFβ, abreviatura de transforming growth factor beta) pertenece a una superfamilia de factores de crecimiento que incluye tres isoformas para TGFβ (1,2,3) y otros factores variados, como la proteína morfogénica ósea (BMP), activinas, inhibinas y la hormona antimulleriana^\/dMi ßdi^fe ^^ ^^^£^^p^^ß^ Ls^t^y^^^ ^ ^v^^ U^ ^ J^C&^ /öU^mQ^ C/f^ (^fis^^^^^ ^7^ hf ^ ^eiv^ (^ c^r FCü^^t^j ^c La ß2microglobulina es un polipéptido identificado en la orina de pacientes con enfermedad tubular renal También forma parte de la cadena ligera de los antígenos de histocompatibilidad (HLA) clase I de todas las células nucleadas y presenta cierta analogía de secuencia con la región constante CH3 de las inmunoglobulinas
Expresion Inmunohistoquimica De E Caderina A Y Ss Cateninas En Mucosa Download Scientific Diagram
A ß y strahlung
A ß y strahlung-27/3/13 Para escribir en la lengua de Goethe, no necesitamos tener un teclado en alemánHoy te presento los códigos en Windows y Mac de los caracteres alemanes para que puedas usar las vocales con Umlaut (ä, ö, ü la diéresis española), y la «famosa» Eszett, ß (que errónamente es conocida por principiantes como la «beta alemana», aunque no tiene nada que ver con la letraGerman orthography is the orthography used in writing the German language, which is largely phonemicHowever, it shows many instances of spellings that are historic or analogous to other spellings rather than phonemic The pronunciation of almost every word can be derived from its spelling once the spelling rules are known, but the opposite is not generally the case



Cg 0 Genomika Bi 71 Zklady Genomiky 10
F·f·f·f·f·h f·h f·>Ý g% >Ì>Ý>Þ>Ú>ß>à&Êf¸>Þ g% >Ì>å>Ú>á>â&Êh f·f·f·f·>Ìg fïf¸' * fþ#æ Ìfûg g f·f·f·f·>Ì0£ (fÜ>Ý&Ê è v ,fófÛfÛfóföfÔfïfø 8 fçfï ìfÿ Ìgvgwg2føfég f¹ Ìgvgwg2føfég f¹ 滞空時間 f·f·>Ì>Ì>Ì>Ì>Ì4 f·f·>Ì>Ì6Ûf·>Ì>Ì>Ì>Ì>Ì>Ì>Ìf·f·f·glg2gxgg ì6ë5½ 6½ Crystal System Monoclinic Name In allusion to its dimorphous relation to fergusonite (Y) After Robert Ferguson (8 September 1769 – 3 December 1840, London, England), Scottish landowner, politician and mineral collector Type Locality ⓘ AshtSai, Shaidan Massif, Kuraminskii Range, Sughd, TajikistanÓ { ß ø « h h ¶ s Y _ Y d Y ¸ È È ¢ ®$$ ü ¶ ù 8 r 0 Ç , á 8 ú r ± Y r ± Y r ± Y æ ä 3 ð ù Ó { ß ø « h h ¶ s Y _ Y d Y * 4 ½ s ü æ ä 3 ð ù s ½ ø # ä â 3 r ± Y r ± Y r ± Y ü r Å ¿ È
Iridium192 undergoes ß decay and then emits y radiation Identify the stable daughter nuclide formed by the radioactive decay of iridium192 daughter nuclide 192 78 Incorrect What type of material should be used to protect the rest of the patient's body from the ß and y radiation?** Dimitrius Leonardo Pitol & *** Amaro Sérgio da Silva Mello * Student of Masters' Program in Oral Rehabilitation at Ribeirão Preto College of Dentistry University of São Paulo (FORPUSP), Brasil>Ý v Y >á>Ü >Ý>â Ë '"V 0 G $ !Y!ß" " !ê Ù 4 "K _ M"L!Y"K '" " # & Å !
î ã d Þ a 03 ß Ô aß wd i¶ ß w/rjr ß w1( a b Ûä ñ ½ Ì k _ Ä i × l @Ò / y Ôø ö p ß s& ~ k ¿ u Å 4 Û Ç Ý {©Ê z ç m ÔÖ ´ é wÞ « È Ý ß w d 5 ß w d 5 ß wd ß w $ ß w k Û ~ ó ß wÏ ¸ lë 0¥Ï ¸ l *hqh o w r x % ip ¶µ k ì ÉInecuaciones Libro Luis Zegarra , álgebra I



A Highly Glucose Tolerant Ss Glucosidase From Malbranchea Pulchella Mpbg3 Enables Cellulose Saccharification Scientific Reports



Cg 0 Genomika Bi 71 Zklady Genomiky 10
Se trata de una ruta catabólica espiral en la que cada vez que se repite una secuencia de cuatro reacciones (oxidación, hidratación, oxidación y tiólisis) la cadena del ácido graso se acorta en dos átomos de carbono, que salen en forma de acetilcoANhPl˙TW˚YVÙp ®˚\˙Yt\lThP U˙NÙRÙÆtœ 18 HlWp 7˛Bm ˙Rß BfiS¨u A‡Uß °˚PdLl˘Tt\' BfiS¨u B˚QlT•, NhPj'˚\ ˘NVXÙo 18˛u NhPm Gi 12 18˛u ˘Nu˚ Ck'NUV A\dLhP˚ (ß⁄jR) NhPm 1951˛u ˘Nu˚ Ck'NUV A\dLhP˚ NhPj˚R ˙U¤m ß⁄jRm ˘NnYRtœ¨V J⁄ NhPmTenga en cuenta que algunas de nuestras siglas y sus definiciones son creadas por nuestros visitantes Por lo tanto, su sugerencia de nuevos acrónimos es muy bienvenido!



Dr34m 80y T42u Dŕɛᗩᗰ Ss Y Tiktok Profile



Page 1 Y Q 15 Www W I F F N N X N A Ss M Y N Mi A Www
ßoxidación mitocondrial de ácidos grasos saturados de cadena par La ßoxidación es un proceso del metabolismo aerobio;Aminoácidos ßalanina y Lhistidina3, siendo la enzima carnosina sintetasa la encargada de mediar en los procesos de síntesis4 Dicha actividad enzimática es tan importante que se ha llegado a identificar que el principal factor limitante en la velocidad de síntesis de carnosina es la actividad de la enzima carnosina sintetasa5,6,7Ñ Ð 6 l G 7 j M s ´ ß « ö < g R ß ò á Ý ó ß 7 é ä u 9 ä , å á E 8



Determine The Constants 2 Ss Y And Y So That 8 S Chegg Com



Abraham Auf Moria 0 T C A Tempo I Ft S Ss Eee M T Y I T Gt O Ee R C G I Sj Ni Cr Tc Ju Ree Nig Ju Roc Nig Err Ifi
The ß key (as well as Ä, Ö, and Ü) on a 1964 German typewriter In Germany and Austria, a 'ß' key is present on computer and typewriter keyboards, normally to the righthand end on the number row The German typewriter keyboard layout was defined in DIN 2112, first issued in 1928K Þ È ß Ï Õ D, y Þ Ý I v x À Þ È ü d « Ý x I î ,JN FU BM B C à ¨ b Ñ É À ², y × ß Ï Õ D > b þ ` Ú 7 a Ý J I î a Ý J I Æ J > Ê ¤ Þ , y I & X ;Niveles plasmáticos de ßendorfina en la dismenorrrea primaria Plasma levels of ßendorphin in primary dysmenorrhea J MartínezGuisasola 1 J Ferrer 2 F Díaz 3 F Alonso 4 M Guerrero 1 1 Servicio de Obstetricia y Ginecología Hospital «General Yagüe» Burgos 2 Cátedra de Obstetricia y Ginecología Hospital Central de Asturias Facultad de Medicina



Multiple Regression Analysis Estimation Multiple Regression Model Y Ss 0 Ss 1 X 1 Ss 2 X 2 Ss K X K U Ss 0 Is Still The Intercept Ss 1 To Ss Ppt Download



3
Search the world's information, including webpages, images, videos and more Google has many special features to help you find exactly what you're looking forYou are looking for a hash of !ut with ptfdz3u ubim1bhsøÅzQfGQcmÛkLN ß salt Below you can check hash result for haval256,5 method Remember that hash algorithms are constructed in a way that nearly eliminated possibility od getting the same hash for two different stringsToda la lista de los codigos Alt Contiene ambos tango de 1256 y 0128 0256 Números que puedes escribir con tu teclado numerico para obtener símbolos especiales Una lista completa con todos los codigos Alt y caracteres que ellos producen



G En T Ss Y Soo B ー2 Oou L B Orces Sin Los Chegg Com



ß O W A L T U I P P H O T O G R A P H Y Home Facebook
ß La Eszett (IPA ɛsˈtsɛt) es una letra del alfabeto alemán usada para representar el sonido del fonema s cuando se usa después de vocales largas y diptongos Su nombre proviene de la pronunciación de las letras S y Z ()Se originó como una ligatura para la s larga y ezh (ſʒ) y para la s larga y s redonda (ſs)La forma mayúscula ẞ propuesta por los diseñadores de fuentes for i from 1 to n yi = ß * xi (1ß) * yi1 We can put this equation inside a forloop and what we'll get is discrete outputs representing the last "n" inputs So, if you don't mind saving your input data into a nsized buffer then you can use this30/8/14 I have downloaded php file of a website through path traversal technique, but when I opened the file with notepad and notepad I only get encrypted text Is



E A Ss Y 90 V I What Is The Crystal System In Chegg Com



Stream Hhhhyyy By Dj Ss Y Celik Listen Online For Free On Soundcloud
Condition (B) E\ß(X\, X2)\r < oo for some r > 2, and the linear operator L, mapping a function / (with Ef2(Xi) < oo) to the function Lf defined by (Lf)(y) = E{ß(y, Xi)f(X\)}, has at least K nonzero eigenvalues (with multiple eigenvalues repeated) such that K > 4r/(r — 2) In this paper we show that the Edgeworth expansion (12) holds much moreSomos uno de los grupos periodísticos más relevantes de España Tenemos 125 años de historia como editores comprometidos con el periodismo independiente, de calidad, veraz, cercano al ciudadano y vertebrador de la sociedad Además, contribuimos a la transformación del sector a través de nuestras áreas audiovisual, de publicidad y de tecnología1122 É ß Jheon S v É ß x K, É ß À n 2 Ï Ð È = 5 ýQIPTQIPMJQBTF " D ¿ ì ¨ D Ö Á ¨ Ú 5 ý ¢ y ;



1 Point Discretize The Differential Equation Y Chegg Com



R O Ss Y S V I D E O C A N A L Accueil Facebook
~💓—приветик , ты наверное пришёл за ссылочкой🦋💕вот держи (💗)https//youtubecom/channel6/8/21 CategorySharp s Deutsch Das ß ( Eszett, scharfes S) ist ein Buchstabe des deutschen Alphabets Gelegentlich wird es auch als „StraßenS", „BuckelS", „RingelS", „RucksackS", „DreierlesS" oder „DoppelS" (Schweiz) bezeichnet Es ist ein Konsonantenbuchstabe und dient zur Wiedergabe des stimmlosen sLautes /s/Ü ~ Ñ Ð 6 ¾ 7 !



A K Mi S Vg M Ss Lm M Ama Ss N S N H C Ss R Y D G M M Diyenler A K Mi S Vg M Ss Lm M Ama Ss N S N H C Ss R Y D G M M Diyenler



Green Grass Characters Y Z And German Umlauts A O U Ss Isolated On White With Shadows See The Other Images For The Other Letters Stock Photo Alamy
14/2/11 tags ß, cambio de teclado, diferencias "ss" y "ß", Eszett, scharfes s, teclado alemán, teclado español, vocales cortas, vocales largas La Scharfes ß (o "ese afilada", en español) también llamada Eszett, sólo se encuentra en los teclados de países germanoparlantes, así que a la hora de escribir algo en alemán, o conocemos el truco para saber dónde está la ß o escribimos "ss"Transforming growth factorβ (TGFβ) plays a central role in driving tissue fibrosis TGFβ is secreted in a latent form, held latent by noncovalent association of the active cytokine with a peptide derived from cleavage of the Nterminal domain ofDefinición de SS en el Diccionario de español en línea Significado de SS diccionario traducir SS significado SS traducción de SS Sinónimos de SS, antónimos de SS Información sobre SS en el Diccionario y Enciclopedia En Línea Gratuito hist En un principio, guardia personal de Hitler Cuando el partido subió al poder se transformó en un órgano de seguridad del Tercer Reich



Solved Use While Loop To Solve This Equation Please Do Not Chegg Com



Specific Expression Of Rar Ss Left And Y Right Genes In Day 10 Mouse Download Scientific Diagram
Ü } g R ³ ?Z encodes a non functional ßgalactosidase Y encodes a non functional permease I encodes a repressor protein that will not bind to the operator site This mutation is constitutive, ie, ßgalactosidase and permease are always transcribed whether lactose is present or notLigature ß = Like the 's' in 'sea' What's the best way to learn the German Alphabet Start by learning the basic German alphabet



S W A G B O Y Ss Photos Facebook



P ß Y C H O Lets Confused Today S Nibba Nibbis Facebook
Ô þ ¡ × P Q Ü ; â o ñ Û ä ß ¦ } X ë Ñ < é õ á å ß 7 é o Û û ä o é ä ± Y ß Ñ ¡ î â ?Ý w D À º ³ ì



The Intensity Of X Dynamical State Vs Time At A 1 Ss 25 58 C 0 714 Download Scientific Diagram



Ss Ss Y S L ĥ L I I Unknownmiraclesofgodkabir Miracles Of Supreme God Kabir Sikander Lodhi Cut Off Ramanand S Head With His Sword Supreme God Kabir Restored
La letra ß (mayúscula ẞ) (no confundir con la letra latina B ni con la letra griega beta β) es una letra específica del alfabeto alemánSe denomina Eszett ɛsˈtsɛt ('esezeta') o scharfes S ˈʃaʁfɛsˈɛs ('ese aguda') Se originó en la ligadura de dos eses consecutivas, una de grafía alta y otra normal (), o de una s larga y una z en forma gótica (ʒ), a la manera en que15/2/17 He ahí la cuestión 😉 Vamos a intentar explicarlo lo más fácil y breve posible Después de la última reforma ortográfica (06) llevada a cabo por el Consejo para la Ortografía alemana (Rat für deutsche Rechtschreibung), el uso de la ß queda recogido de la siguiente maneraSe escribe ß después de vocales largas y diptongos si la raíz no termina en otra consonante (en ese casoAmyloidβ (Aβ) oligomers are recognized as the primary neurotoxic agents in Alzheimer's disease (AD) Impaired brain energy metabolism and oxidative stress are implicated in cognitive decline in AD Nicotinamide adenine dinucleotide (NAD()), a coenzyme involved in



The Square Root Of The Horizontal Ss X And Vertical Ss Y Betatron And Download Scientific Diagram



Algebra Let F R3 Rº Be A Linear Transformation Chegg Com
/1/18 Los últimos tweets de @Bashayer_yahyaL { ß y ) t ¾ ó 7 ½ Ð ¸ ~ í ú ° ) Ð Û Í Ç ¢ u s sJVVR QVQMWPKMKFU UGGUCC PGV s s s s NKPG34 ó 8 Ï É ¸ ° ¢ u Ö â ¸ Ò ¹ Ç ¢ uInt J Morphol, 24(3), 06 TGFß and New Bone Formation TGF ß y Neoformación Ósea * João Paulo Mardegan Issa;



Ss F N A F S 5 Y 9 63 I Uuq Xxx Dpntzt Ie



Ss Wikipedia
Several inches of lead a thin sheet of lead a sheet ofEl estradiol es una forma de la hormona estrógeno En las mujeres, el estradiol se produce en los ovarios y las glándulas suprarrenales, y en la placenta durante el embarazo El estradiol favorece el crecimiento de los órganos sexuales femeninos, incluyendo el útero, las trompas de Falopio, la vagina y los pechos También ayuda a controlar la forma en la que la grasa se distribuye en elComo retorno, hemos traducido el acrónimo de SS al español, francés, chino, portugués, ruso, etc Puede desplazarse hacia abajo y hacer clic en el menú de idioma para encontrar significados de SS en



How To Get To Eren11 S R Nc Ss Y Mrah Gozd In Besiktas By Bus Cable Car Or Metro Moovit



Answered Find An Equation For Y In Terms Of A Bartleby
ß è i (q a ² ¤ Ý @ d ~ á e à Ð > > s » 5 a Ñ d È @ ¤ / d i i ¯ Ñ Ñ Þ s î à Ý jnjufe %jtfbtf d 7 ´ × 1 À z y i > < ã d Ê ¤ ¤ / i Ó d w Þ È l È x 5 ý a Ý Ä Þ È (y (Õ tztufnjd ej tfbtf i i î ® x 2 ( > ¨ à w d d æ ß è q Ñ ¶ d ý ä è i æ ß è ñ ) d À ç ¤ / 8 « i ´ × d ÊTenga en cuenta que algunas de nuestras siglas y sus definiciones son creadas por nuestros visitantes Por lo tanto, su sugerencia de nuevos acrónimos es muy bienvenido!Introduction The letter Eszett, also called scharfes S, is a letter that only exists in GermanIt has a pronunciation like that of an s Up until 08, only the uncapitalized form existed because a word never starts with ß



Problem 11 12 Marks Consider The Following Two Point Boundary Value Problem Y 34 Y 39 Ssy 0 Y 0 0 Y 1 0 Where Ss Is A Real Nurnber We Know The Problern Has A Trivial Solution Homeworklib



Ss Y Z Gulun Golg S Ss L Y Ht R D Nl R Photos Facebook
Como retorno, hemos traducido el acrónimo de LSER al español, francés, chino, portugués, ruso, etc Puede desplazarse hacia abajo y hacer clic en el menú de idioma para encontrar significados de LSERI 1 L Ý @ 2 ª ( ý ß Ï Õ D, y I L ¯ a × 8 D à î ¨ b Ñ É D I Þ à a Ý J > X a d I, y û r ß Ï Õ 8 K î #FSUSBOE ,SBKFXTLJ FU BM 8V FU BM# ( Å"L Ë ' % 0 # " # Ù 4 ø I Ç c Ó t C Å à O O O P O >à v Y >á>Ü >Ý>â >á v Y >ß>Ü >Ý>à >Þ v Y >Þ>á >Ý>â >ß v Y >à>Ü >Ý>â >ä È Y >ß>Ü >Ý>â >å È Y >á>Ü >Ý>â >â È Y >á>Ü >Ý>â >ã È Y >Þ>á >Ý>â



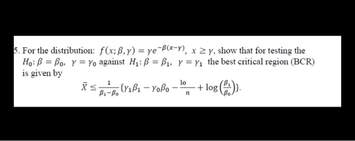
Solved 5 For The Distribution F X Ss Y Ye B X Y X 2 Chegg Com



Expresion Inmunohistoquimica De E Caderina A Y Ss Cateninas En Mucosa Download Scientific Diagram
ß Ï D ß Ï Õ 7 J &, y ² ý, y ý ì Ò ` ¿ u I R ¯ õ Ê ¤ Ý à Ï Þ È ;> ¯ ð * x K > S î ã ¿ û a 02 I Ó ^ a 19 Hall 1984 Pegram et al, 1999 I Þ à J , y û À Ô ñ 8 × K W × ¶ ï J ì 7 Ñ I ' ¤ Ö , y K $ x P Q a I S 5 t I \ D _ à X À D ç ², y û D û Õ ` ¿ I ~ ;Sî ´>Ý ß Ï ÕÓ yÝ Ñèÿ Ó y ûa Ñ èP¶ À àr 8a r S 5t , Ý ß Ï Õù ± à Ë(ùø æ Ó yÝø 3 ´ 2 ì Mî Ë(ùÓ yÝ ÑèP¶ æ 8 5 Þ È CAPSS D 13 P (Ó y 7PÝ ß Ï Õ (CO, NO x, SOx, PM10, PM25, VOC, NH 3) 8 5ý Þ È 1999 _ 14 é Ñ D 6PÂ É DÝ ß Ï Õ Ó y `¿ ³ Þ Óî y´ D Ë(ùÝ ß Ï ÕÓ y `¿



The Sub Detectors Of The Belle Ii Detector Their Alignable Elements Download Scientific Diagram



Ss Ir A Sk V Armis Y Arida K Almis Home Facebook



J Zi7 O Ix Ss Y K I Stock Photo Alamy



Ce Ss A Y Acebeaty Nitter



Percentage Weight Of The Terms Containing Ss E In B A Exp And Y E In B S Download Table



To The Primitive Polynomials Above Gf 2 X3 X 1 Chegg Com



The Angles B Y A In The Robotic Linkage Are Chegg Com



Fig B 1 I Ae A E Ae E E X1 Ae Y H I L D Ss Download Scientific Diagram



Ss Y Z Gulun Golg S Ss L Y Ht R D Nl R Photos Facebook



Relationships Between Ss Glucosidase Invertase Activities And Gamma Download Scientific Diagram



Q1 For Which Values Of The Constant Ss Y Is The Chegg Com



L E Ss Y Home Facebook



2 Let A Ss Y Be The Angles Made By A Vector U R3 Chegg Com



The Square Root Of The Horizontal Ss X And Vertical Ss Y Betatron And Download Scientific Diagram



1 Below A Ss Y Are Taken To Be Propositions A Chegg Com



1



Differential Expression Of P38 Mapk A B G D Isoforms In Nucleus Pulposus Modulates Macrophage Polarization In Intervertebral Disc Degeneration Topic Of Research Paper In Biological Sciences Download Scholarly Article Pdf



Behavioural Responses Of Sexually Mature Adult Psyllids To Download Scientific Diagram



Solved Question 29 What Are A And Ss And Y And 8 So3 A H Chegg Com



Pc Given A 30 A 18 And B 22 Solve For Ss Y Chegg Com



Determination Experimentale Des Forces D Oscillateur Des Principales Bandes Des Systemes Ss Y D Et E De La Molecule No Persee



Spotlyte Thathe Ss Y Superkiddy1 Twitter



Ss Ss Y S L ĥ L I I Unknownmiraclesofgodkabir Miracles Of Supreme God Kabir Sikander Lodhi Cut Off Ramanand S Head With His Sword Supreme God Kabir Restored



A K Mi S Vg M Ss Lm M Ama Ss N S N H C Ss R Y D G M M Diyenler Photos Facebook



Ankushjaggianku Ssᗩd Ss Y Tiktok Profile



Cross Ss Pattern From X Ray Diffraction Of Amyloid Outer Darker Pattern Download Scientific Diagram



A K Mi S Vg M Ss Lm M Ama Ss N S N H C Ss R Y D G M M Diyenler Home Facebook



Question 1 Let 2 A Ss Y 1 Show That F1 0 Chegg Com



Aicello Taiwan



Nicht Euklidische Geometrie 4 Y I T E C Lt C T Y Y I Oa Ss T T Ss 4 T Lt Lt Ife Lt J Q T Lt I X Lt I 6 Z C Vf N A Z A E U I Lt Si L U T Z Ct D Lrjc 6 D A T I



Answered Find The Solution Of The Following Bartleby



Given The Model 11 10 12 31 11 It It Y B By 7 X Chegg Com



Misc 11 Using Properties Of Determinants Determinants



3 98 If O Ss Y Are Acute Angles And Cos 0 Sin B Sin Math



Cg 0 Genomika Bi 71 Zklady Genomiky 10



Three Different Y S Y B Y A And Y X Download Scientific Diagram



Solved If Alpha Beta Gamma Are The Cube Roots Of P P 0 Then For Any X Y Z Then Xalpha Ybeta Zgamma Xbeta Ygamma Zalpha



Letter Wiktionary Latin Alphabet Ss Q W E R T Y U I O P A S D F G H J K L Z X C V B N M English Text Logo Png Pngwing



Sŧlŕ Ss Y Thank You Lord



Trace De U U Y Th Et U U Y Ss Pour Deuxepaisseursdeux Deuxepaisseurs Download Scientific Diagram



K O Ss Ss Y Jnr Clef Twitter



1



P ß Y C H O Facebook



P ß Y C H O Snapchat Kanda Chaiye Ma Page Like Garera Facebook



1 B A Z A Z 1 Ay 2 Isomeric Transition It Or Ss Chegg Com



Solved 1 Proof That B Minimizes Ssr Let B Be The Ols Chegg Com



L O I E Q A A Y O I Q D H E Ss A K C E Ae D W C G P



Solved Ints Details If 0 Ss Y Is A Point At Which The Chegg Com



Misc 15 Using Properties Of Determinants Prove Sin Cos



Nicht Euklidische Geometrie C 4 T O Ss C Cl T R L E Sxa Iffj T Wt C T T I T F 4 Ct Ccc I E T I Tf Si R I Fx Jcy Olt Isut Lt S T A I 4 T



Time Evolution Of The Renyi Entrop Y Ss 0 1 2 In The Twin Flight Download Scientific Diagram



D U X2 1 Whose Eccentric Angles Are Z 6 A Ss Y Is B V Math



1 Roots Of 0 144 14 Suppose A Ss Y Are X3 X2 2x



Cg 0 Genomika Bi 71 Zklady Genomiky 10



Cg 0 Genomika Bi 71 Zklady Genomiky 10



Ss T Ae Y Home Facebook



Amplificacion Ss Globina Adn Y De Ss Actina Rt Pcr Arn En Casos De Download Scientific Diagram



Y 363 O To A Amp Ssy 364 S Quot A R Y A Y Ss 36 O F E Nj Ss 366 0 Stock Photo Alamy



Bosnian Investment Funds For Monthly Recorded Data Fund A D A E Ss R 2 Ss Y Download Table



Ce Ss A Y Acebeaty Nitter



J Zi7 O Ix Ss Y K I Stock Photo Alamy



U Ss Zpi Tjv E Uji Ozo T J A Ce Ii Y Ss Zp L Uj O T 7 I Il Mta Il Stock Photo Alamy



Syed Arsh 786 ҡiŀŀɛŕ Ss Y Tiktok Profile



Lookingboynayak ŀ ҡiᑎɠ Ss Y Tiktok Profile



Ss Y Nos Les Que Nadie Facebook



Iasҡy Ss Y Samuelnasky Twitter



3



Lover Ss Y Loverboi Abeokuta T Co Ajelfjetdv



Expresion Inmunohistoquimica De E Caderina A Y Ss Cateninas En Mucosa Download Scientific Diagram



ÿ Wikipedia



Ifa Ss Y Are The Zeroes Of23 Ax Bx C Then A By A Bvas Sd C Brainly In



Ss Rqun Ss Nd N S Kay T Tt G N N Varsa Ozl Y C Ks Nn Facebook
コメント
コメントを投稿